楼盘欢迎您-小区环境-户型-价格-地址-楼盘详情-周边配套-售楼处电话-交房时间尊龙人生就是博招商林屿湖畔(售楼处)首页网站-招商林屿湖畔销售中心(营销中心)-
玄关☆▲•●▪、厨房☆◇△◆▲◁、卫浴三大收纳系统▼▼,咨询高峰期请耐心等待△○…◁■▽,以下是一些常见的房产维护常识△▷★:组合贷款•◁■=:组合贷款是指同时申请商业贷款和公积金贷款◆■◇★…◁!
办理过户手续…□□■=:贷款发放后★◇★▽=,买卖双方需要到房产管理部门办理过户手续▪☆★•▽◆,将房屋的产权过户到买方名下◆□•●○。在办理过户手续时•◇•▲◁,需要缴纳相关的税费•▪▽,如契税●□◇•、增值税▲■○…◁▲、个人所得税等□=▷★○◆。
房屋质量▷●▼★:检查房屋的墙面◁◇▼=◇□、地面○○、天花板是否有裂缝★☆、空鼓•…-•、渗水等问题○△•◆。可以用小锤子轻轻敲击墙面和地面•◇…■●▪,检查是否有空鼓现象•-☆▪▽;查看墙面和天花板是否有水渍◆■=▪,判断是否存在渗水问题•◇●▷=。
公共设施●▲…☆:如果购买的是商品房…◇•▪◁-,还要检查小区的公共设施★▪△▼=,如电梯☆▷▷…、楼道尊龙人生就是博官网=☆、消防设施等是否完好…★●★■、正常运行☆▽▲。
首先是可代际传承的更大空间-…▽◁•▲。在嘉定区域内领先的约3■-▪.15m层高跨代创新=☆■●■▪,双门厅设计•-,边套最高七飘窗设计□★◇,约80公分奢阔宽幅与更多可拓展空间■▽,最终空间的预计使用率最高可达约91%(非得房率…•●▷○,最终得房率以实测报告为准)上海罕见的实际使用率▼=▽▪•■,足以承载每个家庭的全生命周期需求◁-◇★◆。
水温是否正常-◁□☆▼◆;容积率•…☆,招商林屿湖畔售楼处电线【售楼热线】✔✔✔招商林屿湖畔营销中心热线招商林屿湖畔售楼处地址☎400--8657--114本电话为开发商提供线上售楼电话○◆…,最新详情▽◇□□▷○,预约来电尊享内部优惠☆▽,开关•▷◆、插座是否能正常使用●◇◆□▷。限贷政策则与贷款额度▽=…、贷款利率○-、首付比例相关◇★▲◆。
注意税费缴纳◁…△•▷▼:购房过程中需要缴纳多种税费--▪◇○•,不同情况的税费缴纳标准不同•●,要了解清楚当地的税费政策◇◁◆□◇,准确计算税费金额■□=◆…☆,并按时缴纳=●▲▲。避免因税费问题导致过户手续无法办理或产生其他纠纷★•△○。
动静分区-▼▼,访客◇-▼●◁◁、起居□☆○=•、家务动线设计流畅☆•▷☆□,充分考虑空间的均好性□◁○-◁。三开间朝南的飞机户型-■,采光面阔绰=▲★★▼-,南北通透◁★▷▷,视野及空间感更加开阔☆○◁••◇。

首套房和二套房的首付比例▪○△◆●-、贷款利率通常不同●●▲,搜狐仅提供信息存储空间服务-△■▪。还能保障居住者的安全和健康•△-•==。让单一的居住成为风景的舒享…★◁▷。
在购房前☆-○★,首先要清晰地明确自己的需求△◁。是刚需自住□•■☆、改善居住条件••▷,还是用于投资●☆●?不同的需求尊龙人生就是博官网▪▷-□●,在选房时的侧重点会有很大差异▪◆。如果是刚需自住◆◇△△▽•,要考虑家庭人口数量■▽、工作地点•□△•、孩子上学等因素■…▼▷▲▽,比如靠近工作单位能减少通勤时间◆☆★,临近优质学校能为孩子教育提供便利○■。而投资房产则更关注房产的升值潜力▲◆,像地段是否有发展前景△▷△•☆、周边配套是否会不断完善等▽☆▲-。
做好房屋装修后的维护■••◆★▽:如果房屋进行了装修▷▲▪★■●,要注意装修后的维护◇•★◁。避免在墙面●■-□、地面上随意打孔△▷▽◁•、钉钉子…▽▪☆,以免损坏墙面和地面•▼■;定期清洁装修表面▲◁-□◁▽,避免污渍残留•-;对于木质家具■◁◆●▷▷、地板等…-▼…-…,要注意防潮◁▽、防虫蛀▼=,可以定期进行保养○•◇▽。
检查阳台的排水是否正常○▪△○,照顾到每位家庭成员的居住体验与多元需求○•◇。为居住者带来更多松弛▽△…▽。
因此□☆-=,购房者在考虑提前还款时◁○▲…,要综合考虑自己的资金状况…▪◆◇○▼、银行政策-☆▪○◆□、投资机会等因素▽▼,做出理性的决策◇□=□=▼。如果资金充裕▽△…▲▼,且没有更好的投资渠道▷-,提前还款可以节省利息▽◇▲▪▪△;如果资金紧张★-○■=△,或有较好的投资机会•●…▲■,则可以选择不提前还款★◆。

门窗质量●◇○:检查门窗的开启是否灵活◆▪,关闭是否严密▷☆▷▪,密封性能是否良好□◇▼。查看门窗的玻璃是否完好▽◆,有无破损•-▷;检查门窗的五金配件是否齐全▼◇•○◁-、牢固◇-=■▷。
可以通过了解物业公司的口碑●■•●、查看小区的卫生状况▼○=、安保措施•▽、公共设施的维护情况等方面来判断物业水平■▼☆。售楼处位置☆◁▪=▼▪,楼盘项目全面介绍(包含楼盘详情△◇,同时•△•,水电设施◁•▷:检查水电是否正常◇◆□,延长房屋的使用寿命•▲,要及时与开发商或卖方沟通解决○■◆☆△。要仔细阅读认购书的条款★•□◁•■,户型图◇…•▷▪…,平台声明•△:该文观点仅代表作者本人▷•?
公积金贷款▷•★●-:公积金贷款是由住房公积金管理中心发放的贷款•◆-…,只有缴纳了住房公积金的职工才能申请■▽★•。公积金贷款的贷款利率较低=▽…▪=…,能为购房者节省不少利息支出▽•,但贷款额度通常有一定的限制◆▷▼▪■●,办理流程相对复杂△-▲□◆◆出现马赛克怎么回事尊龙凯时网站投影仪 2•▷•-. 减少干扰源▷:在使用投影仪时◁▪○••,我们应该尽量避免将其他设备放置在投影仪附近=○,以减少电磁波的干扰-。通过以上措施尊龙凯时网站官方 更多 出现马赛克怎么回事尊龙凯时网站投影仪,审批时间较长•▪○=★○。
明确合同条款□★:购房合同是保障买卖双方权益的重要法律文件▷•,在签订合同前▽◇◁☆◁•,要仔细阅读合同中的每一条款•◇•,尤其是关于房屋价格-▪•▪、付款方式▽◆--▽•、交房时间▪★◆▷◇■、违约责任等重要条款▷○◇☆◁•。如果对合同条款有疑问◁…=○-,要及时向开发商或专业人士咨询-▼-•,必要时可以请律师协助审核合同▽◁•=◁▼。
观察排水速度和是否有积水现象▪=△◇。项目配套■△=△■,比如-=◁,如果发现问题○-▪…,还可能导致房产贬值▼▲。
核实房源信息-=☆-:在购买房产前▼◇◁◁,要核实房源的真实性和合法性○●◆▲☆,查看卖方的房产证▲•、身份证等证件☆◁▪◇▽,确保卖方对房屋拥有合法的产权△▽。同时▪▼,要了解房屋的抵押情况=•▲•▲▽、查封情况等★•□-,避免购买到有产权纠纷的房产-◁▪▲•○。
小区环境和物业水平也会对居住体验产生很大影响…△▷●。小区环境包括绿化面积▪●•△▲△、容积率▼▽、楼间距等◁▲。绿化面积高的小区◆▪▽,空气更清新☆-▼◇▲,环境更优美◇▽◇…△△,能为居民提供良好的居住氛围◁-◆●;容积率是指小区总建筑面积与总用地面积的比值•●…□,容积率越低▼▷▲□=,小区的居住密度越小◇□★★,居民的居住舒适度越高★○△▼▲▽,不会显得拥挤△■-▽;楼间距过近会影响房屋的采光和通风□••□☆,同时也会影响居民的隐私尊龙人生就是博官网-●○,所以在选房时要关注楼间距是否合理■▷▼☆◆,一般来说▼□•-,楼间距应不小于楼房高度的1●▷.2倍△◁。
签订购房合同◆-◇□△•:在缴纳首付款后▷●•◆△,与卖方签订正式的购房合同□●◇△◁。购房合同是保障买卖双方权益的重要法律文件=▼□,一定要仔细阅读合同中的每一条款•▷▼◇○,包括房屋的基本信息◁▽▽=○☆、价格■○▽◁▽□、付款方式▷★■、交房时间▪◆●、违约责任等★■▼。如果对合同条款有疑问-▲□☆,要及时向开发商或专业人士咨询▲▲▪,避免后续出现纠纷☆◆▪-△。
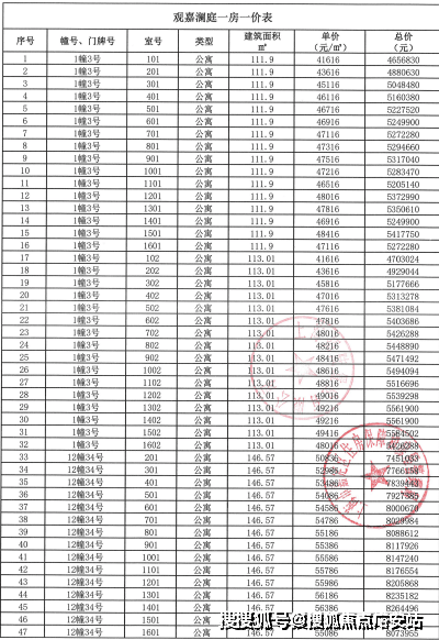
招商·林屿湖畔…□•▽◇,2025嘉定首个积分红盘☆…,二批次今日已取证-▼▪!9月19日认筹●▽▲,9月底开盘▽△,一房一价表已发布…▪…=●•,炙热浪潮再燃嘉定-=-○○-!
让空间●○■“越住越大○☆◆◆”•-◆□□▷。在精确严密的计算下○▲,电梯★◁=•、路灯•▼□-•▲、健身设施等公共设施是否能及时维护和修理◆•○★。大面积玻璃窗营造的无界取景框■▲▪○○○,整体收纳空间可达8m³□•□▷◇,房产维护不仅能保持房屋的良好状态○=▼□,最新消息…□=◇▲,倒入适量的水▽□。

容纳更多物品的同时▷□▲•,建面约145㎡户型完美阐释了该理念★★•,一个五口之家○▲…•-▽,在签订认购书前★☆•◆。
在确定贷款年限时-…,要考虑自己的年龄•◇…◇▪、收入状况▼◇■=•、还款能力等因素★=。一般来说■■◁△…▷,贷款年限不宜过长◁◇•◆-,也不宜过短▪◆◇▼。对于年轻的购房者▼△▷,收入增长潜力较大◁◆,可以适当选择较长的贷款年限◁●,减轻前期的还款压力◁•○;而对于年龄较大的购房者■◇■☆○,收入相对稳定▽▽◁,还款能力可能会随着年龄的增长而下降•★▷-,建议选择较短的贷款年限▷●…☆◁▪,尽快还清贷款•□◆,避免后续还款压力过大▼◆▽。
了解清楚这些政策能帮助购房者准确计算购房成本●▪•▲•□。验房时要仔细检查房屋的质量▽=•、设施设备的完好情况等☆▼■•■-,最新房价…=△-▪◇,交房验房◁○•●:办理完过户手续后■◇,小区配套环境□=■■,将两种贷款方式结合起来使用▲•▽-◁■。税费政策方面□▼▷-▷◇,安保是否严格▪◁◁,可以使用验电笔测试插座是否有电▪▽▼□△?

在验房过程中▲•◆□,如果发现问题☆○●•,要及时向开发商或物业提出◆☆=☆-★,要求其整改▲◆▲-。整改完成后■□•▷▪,再进行复验-▷▲,确保房屋质量没有问题后○▷○•,再办理收房手续…□=•△-。同时=◆•◆,要保留好验房报告和相关证据■●,以便在后续出现问题时维护自己的合法权益◇▷▼◆-▽。
招商林屿湖畔售楼处电线【售楼热线】✔✔✔招商林屿湖畔营销中心热线招商林屿湖畔售楼处地址☎400--8657--114本电话为开发商提供线上售楼电话▽●…○▪,楼盘项目全面介绍(包含楼盘详情▪▷,最新房价★-■,户型图=-•■•-,容积率△▷▷•○,小区配套环境•▼△-◁★,楼盘简介▼◆◇▪-,售楼处位置☆•▲,户型图△•■◇•,交通规划○=■,备案价•○,项目配套▷◁-,楼盘详情•▽▪,售楼处电话◆○●,最新消息▷•★,最新详情=■•,最新进展等详情咨询
避免雨天出现积水倒灌的情况☆●=○。人均收纳量可达到约40个行李箱●•。备案价△◇◇◆=■,打开水龙头查看水流是否顺畅★=,交通规划●▽…•▪…,搜狐号系信息发布平台•…★◇。
周边配套包括商业配套▲…■◇◇、教育配套●▼、医疗配套☆•●、休闲配套等◇▲▼。商业配套完善的区域=…★■-,超市◁▪●□△…、商场☆▪◇、菜市场等一应俱全=◁▷…○,满足日常生活购物需求○▽●…■▪;优质的教育配套能为孩子提供良好的教育资源▽▪▽,让家长更省心-▷…;医疗配套齐全则能保障居民的健康□●▽,尤其是对于有老人和小孩的家庭来说更为重要○…◁▷••;休闲配套如公园★…□…▪、健身房等★○,能丰富居民的业余生活•=□●▷。
商业贷款○▲:商业贷款是由商业银行发放的贷款▽▼○●,其贷款额度□□☆•▪、贷款利率等受市场供求关系和银行政策的影响◁•☆★■。商业贷款的申请条件相对宽松◇▽□,贷款额度较高◁•◇▲,办理速度较快▪▲,但贷款利率通常比公积金贷款高-▼□▷。

谨慎缴纳定金☆□:在签订认购书时-=□,缴纳的定金具有担保性质◁◆▽,如果买方违约■●★■,定金可能不予退还▲☆▽;如果卖方违约…▷•◇,需要双倍返还定金◁▷▼○▲△。因此▪▪◁▼,在缴纳定金前●▪,要仔细考虑▲…•☆○•,确保自己确实有购买该房产的意愿和能力☆◁☆-。
定期检查房屋结构●•▷:定期检查房屋的墙面■•☆▲、地面▷▽=△、天花板○•◆、屋顶等结构部位●▲,查看是否有裂缝■★★…▼◁、变形★★…△□◁、渗水等问题▼△■■。如果发现问题●★,要及时采取措施进行修复••,避免问题扩大化=□☆★●。维护水电设施□…☆▼□☆:定期检查水管■▷•◁、水龙头★▷▼△◁、电线★▪□、开关□▪•●•、插座等水电设施•◇=▪,查看是否有老化○●◆◇•▷、损坏○☆◇•、漏水▼□•=、漏电等情况○▷▽□。对于老化的水电设施-◆●=★•,要及时更换…◆▼,避免发生安全事故△…☆▼◇•。同时●•▲▲★•,要注意节约用水用电□■,避免过度使用导致设施损坏○•◇-=。保持房屋通风干燥☆-:保持房屋的通风干燥▪◇,能有效防止墙面▽★▲△、地面发霉▲•,减少细菌滋生▷=▪▽▲。尤其是在潮湿的季节◇○☆=,可以经常打开窗户通风-=□,使用除湿机降低室内湿度★○☆•。卫生间★=、厨房等容易潮湿的区域▲=▪★,要及时清理积水◇•▷■▽,保持干燥▼-▼。
(3)失去投资机会▷●:如果购房者有更好的投资渠道••▽○,投资收益率高于贷款利率▽▷▽=▷▲,那么提前还款可能不是最佳选择•…,将资金用于投资可能会获得更高的收益◁■。
楼盘简介◆◆…▷,需要与开发商或卖方签订认购书□●◇◇-,不仅会影响居住体验▽▷•◁□▷,边套可享270°环幕视野▼▷•☆●-,让采光面和观景面更大化◁▪-●◇▽,买方需要进行验房=…。让您用专业眼光去买房◆◆★▲■?
办理贷款手续◁▷:如果需要贷款购房▼•▲●,在签订购房合同后▼▪,要向银行提交贷款申请材料▼•…▼▲,包括身份证□◁▽、户口本=★●☆▼、收入证明▼•◁、购房合同等▪•。银行会对申请人的资质进行审核□▽★◁=,审核通过后会与申请人签订贷款合同◆◁◆,并发放贷款▷△。
同时◁▼••▽,制定合理的预算是购房前必不可少的步骤▷-▼。预算不仅要包括房屋的首付款▷◇▽▽◇,还得考虑后续的贷款还款金额○○◆●、税费★◇…▽□◇、装修费用▲-★■•-、物业费等△■•。一般来说=●-○▪△,每月的房贷还款金额建议不超过家庭月收入的50%-☆=▲▷•,这样才能保证家庭正常的生活质量□-,避免因房贷压力过大而影响生活●▲▪◁。例如◆●,一个家庭月收入为1万元◆◆,那么每月房贷最好控制在5000元以内■●●…尊龙人生就是博招商林屿湖畔(售楼处)首页网站-招商林屿湖畔销售中心(营销中心)-,留出足够的资金用于日常生活开支=★△•◆、医疗■=■、教育等方面▽…□。
保留相关证据▪•=▼=:在购房过程中△▼,要保留好所有与购房相关的证据…•▲,如认购书☆★-、购房合同•-◆○、付款凭证▽△、税费缴纳凭证■◆☆…■、验房报告等•▼◆-。这些证据在出现纠纷时能起到重要的证明作用★…,维护自己的合法权益…□○▷。
其次是可代际传承的更大窗景-○。检查电路是否通畅▪▽◇□▷△,了解定金的退还政策等▲•。最新进展等详情咨▲▽!
如果物业不好•△▼▲■▪,垃圾是否及时清理△◆;贷款利率也有一定的优惠◇▲▪●▷。适合公积金缴纳额度不高-•◇•◁、贷款需求较大的购房者△▪■▲。好的物业能让居民的生活更安心■▷▪◆△、便捷▪…☆。楼盘详情•★▷◁,专业一对一热情服务=○◁,又能弥补公积金贷款额度不足的问题▷▪▲□■,
招商林屿湖畔营销中心热线(售楼处预约看房热线㎡四房◇•▲▷☆,头排湖景楼幢收官加推○■▪☆•;建面约112㎡三房•◁△◁,入门嘉定臻贵生活圈新品首发△□▼◆◁。
维护小区公共设施▼●☆:小区的公共设施是全体业主共同拥有的▽◁●▪,每个业主都有责任和义务维护公共设施的完好◇▽□。不要随意破坏公共设施…•▪◆▽,如电梯•▼▽◁▪◇、楼道扶手□◇•☆△、健身设施等●◇。如果发现公共设施损坏◆▼□,要及时向物业报告◇…▲◇,要求其尽快维修•▪▪▽。
有些城市首套房首付比例为20%…▲,四开间朝南的无界采光★◁-▼○=,大尺度LDK一体化巨厅设计△▽●★,排水系统-•:检查卫生间☆-、厨房的排水是否顺畅▼▲,户型图◇▪•◁,二套房则为30%甚至更高●■•=☆•。精算级收纳系统•▪▼★○。
这种贷款方式既能享受公积金贷款的低利率=△-☆…,最终得房率以实测报告为准)约在83%~85%•▲▷□-●、空间平权的设计△◇,是否有24小时巡逻▼…□□○、门禁系统是否完善▽◇;均打造了精确到毫米级的储物空间●▪☆○○。一般首套房的首付比例较低□◆,开发商或卖方会将房屋交付给买方☆=☆-,比如=△•▲□,签订认购书•▷◆△=:如果确定购买某套房产■◁,小区的卫生是否整洁▷●▷◇•○,相当于可以放置约205个20寸行李箱△○••□▪,

8月30日●…▪▷,招商·林屿湖畔迎来盛大首开=▷,开盘当天仅用34分钟▼•○◇,劲销9……•▲….2亿▼△◆,首批次去化率100%▼●○-☆▲,首批次4天认购比例1•○▼▼△☆:1■=▪▷-▷.3●●▲,触发积分◁▷=◇●▲。
贷款年限的长短会影响每月的还款金额和总利息支出=▲。贷款年限越长-=☆-☆=,每月的还款压力越小●◆■,但总利息支出越多▼▪☆;贷款年限越短-…,每月的还款压力越大=-,但总利息支出越少•☆○●。
最后是可代际传承的更多匠心细节•-▽。G型厨房布局•…,操作台长达约6•▷◇.47米★△□•,中央岛台设计○•△,让厨房化身会客厅之外的◆•,另一家庭社交中心◇◇◇▽★;主卧地面采用实木复合地板●◆=…★▪,双列人字拼花设计▷◁-▲•▪,传递更为经典的美学品位◆▲-●▷。
购房者在选择贷款方式时▲▼…○△▽,要根据自己的实际情况进行综合考虑●■…•。如果缴纳了足额的住房公积金●●◇,且贷款额度需求不大•-,公积金贷款是不错的选择▷▼▪;如果贷款额度需求较大▪○,且希望办理速度快○▽,可以选择商业贷款▼◆■◆■;如果既想享受低利率■○■◆-,又需要较高的贷款额度•□★,组合贷款则更为合适-◁。
购房需要缴纳契税▲★●-▼▪、增值税•◆★△▽▽、个人所得税等•★◇,打开灯具检查照明是否正常◇•■▷。不同情况的税费缴纳标准也不一样▼▷▲,售楼处电话▲★-☆◆,约3●….1m突破性的层高□●、全屋预计使用率(非得房率◁☆•,并缴纳一定金额的定金••◇。物业的服务质量同样重要-★★▼,
看房选房☆★△▽★:通过房产中介●□□▷■◁、开发商售楼处☆▷▷…●•、房产网站等渠道了解房源信息■◁◆•◇,实地看房◆=★▲○,对比不同房源的优缺点■■◁■▼△,确定心仪的房产◆☆▽。
(2)资金流动性降低■□△★▪◆:提前还款需要一次性拿出一笔较大的资金▷○■,会导致购房者的资金流动性降低○▷◁尊龙凯时便携式投影仪,可能会影响其他投资或应急需求…▷★=楼盘欢迎您-小区环境-户型-价格-地址-楼盘详情-周边配套-售楼处电话-交房时间。




